Home >> NEET - 2019
Welcome Dear Student and Shine in NEET with Shine NEET SmartPrep!.
All NEET - 2019 questions are displayed here. But you would be able to try only a sub set of these questions in your free trial.
We recommend you explore the full system and go for a one time subscription if you are satisfied.
Try it out and feel the difference!!

Subscribe to full version of smart test prep solution for the same cost of a static and boring printed question bank!

Limited-Time Offer: Get all this for just ₹1199

Why settle for outdated methods when you can prepare smarter, track better, and score higher?
Subscribe Now & Take Control of Your NEET Prep !

Subscribe
Your Full Test Performance Summary
You are yet to try out this test. Performance Summary not avialable !
Questions Available: 180
Questions Attempted: 0
Number of Attempts: 0
Correct Attempts: 0
Total Time Spent: 00:00
Avg Time Per Question: 00:00
1.
The displacement of a particle executing simple harmonic motion is given by \(y = A_0 + A sin ω t + B cos ω t\). Then the amplitude of its oscillation is given by

(1).
\(A + B\)
(2).
\( A_0 + \sqrt{A^2 + B^2}\)
(3).
\(\sqrt{A^2 + B^2}\)
(4).
\(\sqrt{{A_0}^2 + \left(A + B\right)^2}\)
2.
In the circuits shown below, the readings of the voltmeters and the ammeters will be

(1).
V 2 > V 1 and i1 > i2
(2).
V 2 > V 1 and i1 = i2
(3).
V 1 = V 2 and i1 > i2
(4).
V 1 = V 2 and i1 = i2
3.
Which of the following acts as a circuit protection device?

(1).
fuse
(2).
conductor
(3).
inductor
(4).
switch
4.
Body A of mass 4 m moving with speed u collides with another body B of mass 2 m, at rest. The collision is head on and elastic in nature. After the collision the fraction of energy lost by the colliding body A is

(1).
\(\displaystyle \frac{5}{9}\)
(2).
\(\displaystyle \frac{1}{9}\)
(3).
\(\displaystyle \frac{8}{9}\)
(4).
\(\displaystyle \frac{4}{ 9}\)
5.
A force F = 20 + 10y acts on a particle in y -direction where F is in newton and y in meter. Work done by this force to move the particle from y = 0 to y = 1m is

(1).
20 J
(2).
30 J
(3).
5 J
(4).
25 J
6.
A mass m is attached to a thin wire and whirled in a vertical circle. The wire is most likely to break when

(1).
inclined at an angle of \(60^\circ\) from vertical
(2).
the mass is at the highest point
(3).
the wire is horizontal
(4).
the mass is at the lowest point
7.
Pick the wrong answer in the context with rainbow.

(1).
The order of colours is reversed in the secondary rainbow
(2).
An observer can see a rainbow when his front is towards the sun
(3).
Rainbow is a combined effect of dispersion refraction and reflection of sunlight
(4).
When the light rays undergo two internal reflections in a water drop,a secondary rainbow is formed
8.
Which colour of the light has thelongest wavelength?

(1).
Blue
(2).
Green
(3).
Violet
(4).
Red
9.
In total internal reflection when the angle of incidence is equal to the critical angle for the pair of media in contact, what will be angle of refraction?

(1).
\(0^\circ\)
(2).
Equal to angle of incidence
(3).
\(90^\circ\)
(4).
\(180^\circ\)
10.
The work done to raise a mass \(m\) from the surface of the earth to a height \(h\), which is equal to the radius of the earth, is

(1).
\(\frac{3}{2}mgR\)
(2).
\(mgR\)
(3).
\(2mgR\)
(4).
\(\frac{1}{2}mgR\)
11.
A body weighs \(200\,N\) on the surface of the earth. How much will it weigh half way down to the centre of the earth ?

(1).
\(100\,N\)
(2).
\(150\,N\)
(3).
\(200\,N\)
(4).
\(250\,N\)
12.
In an experiment, the percentage of error occurred in the measurement of physical quantities A, B, C and D are 1%, 2%, 3% and 4% respectively. Then the maximum percentage of error in the measurement X, where \(\displaystyle X = \frac{A^2B^{1/2}}{C^{1/3}D^3}\) will be

(1).
\(10 \% \)
(2).
\(\left(\displaystyle \frac{3}{13}\right) \% \)
(3).
\(16 \%\)
(4).
\(-10 \%\)
13.
Two similar thin equi-convex lenses, of focal length f each, are kept co-axially in contact with each other such that the focal length of the combination is F1 . When the space between the two lenses is filled with glycerine (which has the same refractive index (μ =1.5) as that of glass) then the equivalent focal length is F2 . The ratio F1 : F 2 will be

(1).
1 : 2
(2).
2 : 3
(3).
3 : 4
(4).
2 : 1
14.
In a double slit experiment, when light of wavelength 400 nm was used, the angular width of the first minima formed on a screen placed1m away, was found to be \(0.2^\circ\). What will be the angular width of the first minima, if the entire experimental apparatus is immersed in water? (μ water =4/3)

(1).
\( 0.15^\circ\)
(2).
\(0.051^\circ\)
(3).
\(0.1^\circ\)
(4).
\(0.266^\circ\)
15.
The unit of thermal conductivity is

(1).
\(Wm^{−1}K^{−1}\)
(2).
\(JmK^{−1}\)
(3).
\(Jm^{−1}K^{ −1}\)
(4).
\(WmK^{−1}\)
16.
A solid cylinder of mass 2 kg and radius 4 cm is rotating about its axis atthe rate of 3 rpm. The torque required to stop it after \(2\,\pi\) revolutions is

(1).
\(2 \times 10^6\,N m\)
(2).
\(2 \times 10^ {−6}\,N m\)
(3).
\(2 \times 10^{ −3}\,N m\)
(4).
\(12 \times 10^{ −4}\,N\)
17.
A disc of radius 2 m and mass 100 kg rolls on a horizontal floor. Its centre of mass has speed of 20 cm ∕ s. How much work is needed to stop it?

(1).
1 J
(2).
3 J
(3).
30 kJ
(4).
2 J
18.
In which of the following processes, heat is neither absorbed nor released by a system?

(1).
Adiabatic
(2).
Isobaric
(3).
Isochoric
(4).
Isothermal
19.
Increase in temperature of a gas filled in a container would lead to

(1).
increase in its kinetic energy
(2).
decrease in its pressure
(3).
decrease in intermolecular distance
(4).
increase in its mass
20.
An electron is accelerated through a potential difference of 10,000 V.Its de Broglie wavelength is, (nearly) \(\left(m_e= 9 × 10^−31kg\right)\)

(1).
\(12.2\,nm\)
(2).
\(12.2 \times 10^{−13}\,m\)
(3).
\(12.2 \times 10^{−12}\,m\)
(4).
\(12.2 \times 10^{−14}\,m\)
21.
Two point charges A and B, having charges +Q and −Q respectively, are placed at certain distance apart and force acting between them is F. If 25% charge of A is transferred to B,then force between the charges becomes

(1).
9F/16
(2).
16F/9
(3).
4F/3
(4).
F
22.
Two parallel infinite line charges with linear charge densities \(+\lambda\, C/m\) and \(−\lambda\, C/m\) are placed at a distance of 2R in free space.What is the electric field mid-way between the two line charges?

(1).
\(\displaystyle \frac{2 \lambda}{\pi \epsilon _0 R}\) N/C
(2).
\(\displaystyle \frac{ \lambda}{\pi \epsilon _0 R}\) N/C
(3).
\(\displaystyle \frac{ \lambda}{2 \pi \epsilon _0 R}\) N/C
(4).
\(\text{Zero}\)
23.
A copper rod of 88 cm and an aluminium rod of unknown length have their increase in length independent of increase in temperature. The length of aluminium rod is \(\left(\alpha_{Cu} = 1.7 × 10^{−5}K^{−1}, \alpha_{Al} = 2.2 × 10^{−5}K^{−1}\right)\)

(1).
68 cm
(2).
6.8 cm
(3).
113.9 cm
(4).
88 cm
24.
A small hole of area of cross-section \(2 mm^2\) is present near the bottom of a fully filled open tank of height \(2 m\). Taking \(g = 10 m ∕ s^2\), the rate of flow of water through the open hole would be nearly

(1).
\(6.4 \times 10^{−6}\,m^3 ∕s\)
(2).
\(12.6 \times 10^{−6}\,m^3 /s\)
(3).
\(8.9 \times 10^{−6}\, m^3 /s\)
(4).
\(2.23 \times 10^{−6}\,m^3 ∕s\)
25.
When a block of mass M is suspended by a long wire of length L, the length of the wire becomes (L + l ). The elastic potential energy stored in the extended wire is

(1).
\(\displaystyle \frac{1}{2}\) MgL
(2).
\(\displaystyle Mgl\)
(3).
\(\displaystyle MgL\)
(4).
\(\displaystyle \frac{1}{2}\,Mgl\)
26.
A soap bubble, having radius of 1 mm, is blown from a detergent solution having a surface tension of \(2.5 × 10^{−2}N ∕ m\). The pressure inside the bubble equals at a point \(Z_0\) below the free surface of water in a container. Taking \(g = 10 m ∕ s^2\), density of water = \(10^3kg ∕ m^3\), the value of \(Z_0\) is

(1).
0.5 cm
(2).
100 cm
(3).
10 cm
(4).
1 cm
27.
For a p -type semiconductor, which of the following statements is true?

(1).
Electrons are the majority carriers and pentavalent atoms are the dopants.
(2).
Electrons are the majority carriers and trivalent atoms are the dopants.
(3).
Holes are the majority carriers and trivalent atoms are the dopants.
(4).
Holes are the majority carriers and pentavalent atoms are the dopants.
28.

The correct Boolean operation represented by the circuit diagramdrawn is

(1).
NOR
(2).
AND
(3).
OR
(4).
NAND
29.
The speed of a swimmer in still water is 20m ∕ s. The speed of river water is 10m ∕ s and is flowing due east. If he is standing on the south bank and wishes to cross the river along the shortest path, the angle at which he should make his strokes w.r.t. north is, given by

(1).
\( 45^\circ \) west
(2).
\( 30^\circ \) west
(3).
\( 0^\circ \)
(4).
\( 60^\circ \) west
30.
When an object is shot from the bottom of a long smooth inclined plane kept at an angle \(60^\circ \) with horizontal, it can travel a distance \( {\text{x}_1} \) along the plane. But when the inclination is decreased to \(30^\circ \) and the same object is shot with the same velocity, it can travel \( {\text{x}_2} \) distance. Then \( {\text{x}_1}:{\text{x}_2} \) will be

(1).
1 : \(2\sqrt{3} \)
(2).
1 : \(\sqrt{2} \)
(3).
\(\sqrt{2} \) : 1
(4).
1 : \(\sqrt{3} \)
31.
In which of the following devices, the eddy current effect is not used?

(1).
electric heater
(2).
induction furnace
(3).
magnetic braking in train
(4).
electromagnet
32.
Two particles A and B are moving in uniform circular motion in concentric circles of radii \(r_A\) and \(r_B\) with speed \(v_A\) and \(v_B\) respectively. Their time period of rotation is the same. The ratio of angular speed of A to that of B will be

(1).
\(1\, :\,1\)
(2).
\(r_A\, :\,r_B\)
(3).
\(v_A\, :\,v_B\)
(4).
\(r_B\, :\,r_A\)
33.
A 800 turn coil of effective area 0.05m2 is kept perpendicular to a magnetic field 5 × 10−5 T. When the plane of the coil is rotated by 90∘ around any of its coplanar axis in 0.1 s, the emf induced in the coil will be

(1).
0.02 V
(2).
2 V
(3).
0.2 V
(4).
2 × 10−3 V
34.
Average velocity of a particle executing SHM in one complete vibration is

(1).
\(\displaystyle \text{zero}\)
(2).
\(\displaystyle \frac{Aω}{2}\)
(3).
\(\displaystyle Aω\)
(4).
\(\displaystyle \frac{Aω^2}{2}\)
35.
The radius of circle, the period of revolution, initial position and sense of revolution are indicated in the figure.

y - projection of the radius vector of rotating particle \(P\) is

(1).
\(y(t) = 3 cos \left(\frac{πt}{2}\right)\), where y in m
(2).
\(y(t) = −3 cos 2 π t\), where y in m
(3).
\(y(t) = 4 sin \left(\frac{πt}{2}\right)\), where y in m
(4).
\(y(t) = 3 cos \left(\frac{3πt}{2}\right) \), where y in m
36.
The total energy of an electron in an atom in an orbit is −3 4 . eV. Its kinetic and potential energies are, respectively:

(1).
−3.4 eV, −6.8 eV
(2).
3.4 eV, −6.8 eV
(3).
3.4 eV, 3.4 eV
(4).
−3.4 eV, −3.4 eV
37.
\(\alpha\)-particle consists of

(1).
2 electrons, 2 protons and 2 neutrons
(2).
2 electrons and 4 protons only
(3).
2 protons only
(4).
2 protons and 2 neutrons only
38.
A hollow metal sphere of radius R is uniformly charged. The electricfield due to the sphere at a distance r from the centre

(1).
decreases as r increases for r < R and for r > R
(2).
increases as r increases for r < R and for r > R
(3).
zero as r increases for r < R, decreases as r increases for r > R
(4).
zero as r increases for r < R, increases as r increases for r > R
39.
A block of mass 10 kg is in contact against the inner wall of a hollow cylindrical drum of radius 1m. The coefficient of friction between the block and the inner wall of the cylinder is 0.1. The minimum angular velocity needed for the cylinder to keep the block stationary when the cylinder is vertical and rotating about its axis, will be \(g\, =\, 10\, m ∕ s^2\)

(1).
\(10\pi\) rad ∕ s
(2).
\(\sqrt{10}\) rad ∕ s
(3).
\(102\pi \) rad ∕ s
(4).
\(10\) rad ∕ s
40.
A particle moving with velocity \( \vec{v}\) is acted by three forces shown by the vector triangle PQR. The velocity of the particle will

(1).
change according to the smallest force \(\vec{QR}\)
(2).
increase
(3).
decrease
(4).
remain constant
41.
At a point A on the earth's surface the angle of dip, \(\delta \, =\, +25^\circ\). At a point B on the earth's surface the angle of dip, \(\delta \, =\, -25^\circ\). We can interpret that

(1).
A and B are both located in the southern hemisphere.
(2).
A and B are both located in the northern hemisphere.
(3).
A is located in the southern hemisphere and B is located in the northern hemisphere.
(4).
A is located in the northern hemisphere and B is located in the southern hemisphere.
42.
Six similar bulbs are connected as shown in the figure with a DC source of emf E , and zero internal resistance. The ratio of power consumption by the bulbs when (i) all are glowing and (ii) in the situation when two from section A and one from section B are glowing, will be

(1).
2 : 1
(2).
4 : 9
(3).
9 : 4
(4).
1 : 2
43.
A parallel plate capacitor of capacitance 20µF is being charged by a voltage source whose potential is changing at the rate of 3V ∕ s. The conduction current through the connecting wires, and the displacement current through the plates of the capacitor, would be, respectively

(1).
zero, zero
(2).
zero, 60µA
(3).
60µA, 60µA
(4).
60µA, zero
44.
A cylindrical conductor of radius R is carrying a constant current. The plot of the magnitude of the magnetic field, B with the distance, d from the centre of the conductor, is correctly represented by the figure

(1).
(2).
(3).
(4).
45.
Ionized hydrogen atoms and α-particles with same momenta enters perpendicular to a constant magnetic field, B. The ratio of their radii of their paths rH : rα wil be

(1).
1 : 4
(2).
2 : 1
(3).
1 : 2
(4).
4 : 1
46.
Which of the following diatomic molecular species has only π bonds according of Molecular Orbital Theory ?

(1).
N2
(2).
C2
(3).
Be2
(4).
O3
47.
A gas at 350 K and 15 bar has molar volume 20 percent smaller than that for an ideal gas under the same conditions. The correct option about the gas and its compressibility factor (Z) is

(1).
Z > 1 and repulsive forces and dominant
(2).
Z < 1 and attractive forces and dominant
(3).
Z < 1 and repulsive forces and dominant
(4).
Z > 1 and attractive forces and dominant
48.
The number of sigma (\(\sigma\)) and pi (\(\pi\)) bonds in pent-2 en-4-yne is

(1).
8 \(\sigma\) bonds and 5 \(\pi\) bonds
(2).
11 \(\sigma\) bonds and 2 \(\pi\) bonds
(3).
13 \(\sigma\) bonds and no \(\pi\) bonds
(4).
10 \(\sigma\) bonds and 3 \(\pi\) bonds
49.
The biodegradable polymer is

(1).
nylon-2-nylon 6
(2).
nylon-6
(3).
Buna-S
(4).
nylon-6, 6
50.
Conjugate base for Bronsted acids H2O and HF are

(1).
H3O+ and F , respectively.
(2).
OH and F, respectively.
(3).
H3O+ and H2F+, respectively.
(4).
OH and H2F+, respectively.
51.
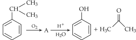
The major product of the following reaction is

(1).
(2).
(3).
(4).
52.
Match the Xenon compounds in Column-I with its structure in Column-II and assign the correct code

(1).
(a) - (ii), (b) -(iii), (c) - (iv), (d) - (i)
(2).
(a) - (ii), (b) - (iii), (c) - (i), (d) - (iv)
(3).
(a) - (iii), (b) - (iv), (c) - (i), (d) - (ii)
(4).
(a) - (i), (b) - (ii), (c) - (iii), (d) - (iv)
53.
An alkene ‘A’ on reaction with O3 and Zn-H2O gives propanone and ethanal in equimolar and ratio. Addition of HCl to alkene ‘A’ gives ‘B’ as the major product. The structure of product ‘B’ is

(1).
(2).
(3).
(4).
54.
The most suitable reagent for the following conversion is

(1).
H2, Pd/C, quinoline
(2).
Zn/HCl
(3).
Hg2+/H+, H2O
(4).
Na/Liquid NH3
55.
The correct structure or tribromo octaoxide is

(1).
(2).
(3).
(4).
56.
For a cell involving one electron \(\text{E}^\circ _\text{cell}\) = 0.59 V at 298 K, the equilibrium constant for the cell reaction is
[Given that \(\displaystyle \frac{2.303 RT}{F}\) = 0.059 V at T = 298 K]

(1).
1.0 x 105
(2).
1.0 x 1010
(3).
1.0 x 1030
(4).
1.0 x 102
57.
The structure of intermediate A in the following reaction is

(1).
(2).
(3).
(4).
58.
The number of moles of hydrogen molecules required to produce 20 moles of ammonia through Haber's process is

(1).
20
(2).
30
(3).
40
(4).
10
59.
The non-essential amino acid among the following is

(1).
leucine
(2).
alanine
(3).
lysine
(4).
valine
60.
Which of the following reactions are disproportionation reaction ?

Select the correct option from the following:

(1).
(i), (ii), and (iii)
(2).
(i), (iii), and (iv)
(3).
(i) and (iv) only
(4).
(i) and (ii) only
61.
Which is the correct thermal stability order for H2E
(E = O, S, Se, Te and Po)?

(1).
H2O < H2S < H2Se < H2Te < H2Po
(2).
H2Po < H2Te < H2Se < H2S < H2O
(3).
H2Se < H2Te < H2Po < H2O < H2S
(4).
H2S < H2O < H2Se < H2Te < H2Po
62.
4d, 5p, 5f, and 6p orbitals are arranged in the order of decreasing energy. The correct option is

(1).
6p > 5f > 5p > 4d
(2).
6p > 5f > 4d > 5p
(3).
5f > 6p > 4d > 5p
(4).
5f > 6p > 5p > 4d
63.
Which will make basic buffer ?

(1).
100 mL of 0.1 M CH3COOH + 100 mL of 0.1 mL NaOH
(2).
100 mL of 0.1 M HCl + 200 mL of 0.1 m NH4OH
(3).
100 mL of 0.1 M HCl + 100 mL of 0.1 M NaOH
(4).
50 mL of 0.1 period M NaOH elements + 25 mL of 0.1 M CH3COOH
64.
For the second period elements the correct increasing order of first ionisation enthalpy is

(1).
Li < B < Be < C < O < N < F < Ne
(2).
Li < B < Be < C < N < O < F < Ne
(3).
Li < Be < B < C < O < N < F < Ne
(4).
Li < Be < B < C < N < O < F < Ne
65.
Identify the incorrect statement related to PCl5 from the following

(1).
Two axial P—Cl bonds make an angle of 180° with each other.
(2).
Axial P—Cl bonds are longer than equatorial P—Cl bonds.
(3).
PCl5 molecule is non-reactive.
(4).
Three equatorial P—Cl bonds make an angle of 120° with each other.
66.
Among the following, the one that is not green house gas is

(1).
methane.
(2).
ozone.
(3).
sulphur dioxide.
(4).
nitrous oxide.
67.
Under isothermal condition, a gas at 300 K expands from 0.1 L to 0.25 L against a constant external pressure of 2 bar. The work done by the gas is

(1).
5 kJ
(2).
25 J
(3).
30 J
(4).
-30 J
68.
Which one is malachite from the following ?

(1).
Cu(OH)2
(2).
Fe3O4
(3).
CuCO3.Cu(OH)2
(4).
CuFeS2
69.
The mixture that forms maximum boiling azeotrope is

(1).
Ethanol + Water
(2).
Acetone + Carbon disulphide
(3).
Heptane + Octane
(4).
Water + Nitric acid
70.
Which of the following series of transitions in the spectrum of hydrogen atom falls in visible region ?

(1).
Balmer series
(2).
Paschen series
(3).
Brackett series
(4).
Lyman series
71.
For an ideal solution, the correct option is

(1).
\(\Delta_{mix}\) V \(\neq\) 0 at constant T and P
(2).
\(\Delta_{mix}\) H = 0 at constant T and P
(3).
\(\Delta_{mix}\) G = 0 at constant T and P
(4).
\(\Delta_{mix}\) S = 0 at constant T and P
72.
Which of the following is an amphoteric hydroxide ?

(1).
Ca(OH)2
(2).
Mg(OH)2
(3).
Be(OH)2
(4).
Sr(OH)2
73.
If the rate constant for a first order reaction is k, the time (t) required for the completion of 99% of the reaction is given by

(1).
t = 6.909/k
(2).
t = 4.606/k
(3).
t = 2.303/k
(4).
t = 0.693/k
74.
The compound that is most difficult to protonate is

(1).
(2).
(3).
(4).
75.
For the chemical reaction
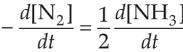
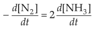
N2(g) + 3H2(g) \(\rightleftharpoons\) 2NH3(g)
the correct option is

(1).
(2).
(3).
(4).
76.
In which case change in entropy is negative ?

(1).
Expansion of a gas at constant temperature
(2).
Sublimation of solid to gas
(3).
2H(g) \(\rightarrow\) H2(g) (c)
(4).
Evaporation of water
77.
The correct order of the basic strength of methyl substituted amines in aqueous solution is

(1).
(CH3)3N > CH3NH2 > (CH3)2NH
(2).
(CH3)3N > (CH3)2NH > CH3NH2
(3).
CH3NH2 > (CH3) 2NH > (CH3)3N
(4).
(CH3)2NH > CH3NH2 > (CH3)3N
78.
For the cell reaction
2Fe3+(aq) + 2I(aq) \(\rightarrow\) 2Fe2+(aq) + I2 (aq)
\(\text{E} ^\oplus_\text{cell}\) = 0.24 V at 298 K. The standard Gibbs energy cell (\(\Delta_r \text{G}^\ominus\)) of the cell reaction is
[Given that Faraday constant F = 96500 C mol–1]

(1).
– 23.16 kJ mol–1
(2).
46.32 kJ mol–1
(3).
23.16 kJ mol–1
(4).
– 46.32 kJ mol–1
79.
What is the correct electronic configuration of the central atom in K4[Fe(CN)6] based on crystal field theory?

(1).
\(\text{t}^6_{2g} \text{e}^0_g\)
(2).
\(\text{e}^3 \text{t}^3_2\)
(3).
\(\text{e}^4 \text{t}^2_2\)
(4).
\(\text{t}^4_{2g} \text{e}^2_g\)
80.
A compound is formed by cation C and anion A. The anions form hexagonal close packed (hcp) lattice and the cations occupy 75% of octahedral voids. The formula of the compound is

(1).
C3A2
(2).
C3A4
(3).
C4A3
(4).
C2A3
81.
The method used to remove temporary hardness of water is

(1).
Clark’s method.
(2).
Ion-exchange method.
(3).
Synthetic resins method.
(4).
Calgon's method.
82.
The manganate and permanganate ions are tetrahedral, due to

(1).
there is no \(\pi\) -bonding.
(2).
the \(\pi\) - bonding involves overlap of p-orbitals of oxygen with p-orbitals of manganese.
(3).
the \(\pi\) - bonding involves overlap of d-orbitals of oxygen with d-orbitals of manganese.
(4).
the \(\pi\) - bonding involves overlap of p-orbitals of oxygen with d-orbitals of manganese.
83.
Among the following, the reaction that proceeds through an electrophilic substitution, is

(1).
(2).
(3).
(4).
84.
Which of the following is incorrect statement ?

(1).
SiCl4 is easily hydrolysed.
(2).
GeX4 (X = F, Cl, Br, I) is more stable than GeX2.
(3).
SnF4 is ionic in nature.
(4).
PbF4 is covalent in nature.
85.
Which mixture of the solutions will lead to the formation of negatively charged colloidal [AgI]I sol. ?

(1).
50 mL of 1 M AgNO3 + 50 mL of 2 M KI
(2).
50 mL of 2 M AgNO3 + 50 mL of 1.5 M KI
(3).
50 mL of 0.1 M AgNO3 + 50 mL of 0.1 M I
(4).
50 mL of 1 M AgNO3 + 50 mL of 0.5 M KI
86.
Match the following

Which of the following is the correct option?

(1).
(a) - (ii), (b) - (iv), (c) - (i), (d) - (iii)
(2).
(a) - (iii), (b) - (iv), (c) - (ii), (d) - (i)
(3).
(a) - (iv), (b) - (iii), (c) - (ii), (d) - (i)
(4).
(a) - (i), (b) - (ii), (c) - (iii), (d) - (iv)
87.
Enzymes that utilize ATP in phosphate transfer require an alkaline earth metal (M) as the cofactor. M is

(1).
Mg
(2).
Ca
(3).
Sr
(4).
Be
88.
Among the following, the narrow spectrum antibiotic is

(1).
ampicillin
(2).
amoxycillin
(3).
chloramphenicol
(4).
penicillin G
89.
Which of the following species is not stable?

(1).
[GeCl6]2–
(2).
[Sn(OH)6]2–
(3).
[SiCl6]2–
(4).
[SiF6]2–
90.
pH of a saturated solution of Ca(OH)2 is 9. The solubility product (ksp) of Ca(OH)2 is

(1).
0.25 x 10-10
(2).
0.125 x 10-15
(3).
0.5 x 10-10
(4).
0.5 x 10-15
91.
A gene locus has two alleles A, a. If the frequency of dominant allele A is 0.4, then what will be the frequency of homozygous dominant, heterozygous and homozygous recessive individuals in the population ?

(1).
0.16 (AA); 0.24 (Aa); 0.36 (aa)
(2).
0.16 (AA); 0.48 (Aa); 0.36 (aa)
(3).
0.16 (AA); 0.36 (Aa); 0.48 (aa)
(4).
0.36 (AA); 0.48 (Aa); 0.16 (aa)
92.
Select the incorrect statement

(1).
Inbreeding is essential to evolve purelines in any animal.
(2).
Inbreeding selects harmful recessive genes that reduce fertility and productivity.
(3).
Inbreeding helps in accumulation of superior genes and elimination of undesirable genes.
(4).
Inbreeding increases homozygosity.
93.
Match Column-I with Column-II
B

(1).
(a) - (iii), (b) - (ii), (c) - (i), (d) - (iv)
(2).
(a) - (ii), (b) - (i), (c) - (iii), (d) - (iv)
(3).
(a) - (ii), (b) - (iii), (c) - (iv), (d) - (i)
(4).
(a) - (i), (b) - (ii), (c) - (iii), (d) - (iv)
94.
Match the following organisms with the products they produce :

(1).
(a) - (ii), (b) - (iv), (c) - (iii), (d) - (v)
(2).
(a) - (iii), (b) - (iv), (c) - (v), (d) - (i)
(3).
(a) - (ii), (b) - (i), (c) - (iii), (d) - (v)
(4).
(a) - (ii), (b) - (iv), (c) - (v), (d) - (iii)
95.
In Antirrhinum (Snapdragon), a red flower was crossed with a white flower and in F1 generation, pink flowers where obtained. When pink flowers were selfed, the F2 generation showed white, red from and pink flowers.
Choose the incorrecct statement from the following:

(1).
Pink colour in F1 is due to incomplete dominance.
(2).
Ratio of F2 is \(\displaystyle \frac{1}{4}\) (Red) : \(\displaystyle \frac{2}{4}\) (Pink) : \(\displaystyle \frac{1}{4}\) (White).
(3).
Law of Segregation does not apply in this experiment.
(4).
This experiment does not following the Principle of Dominance.
96.
Identify the cells whose secretion protects the lining of gastro-intestinal tract from various enzymes.

(1).
Goblet cells
(2).
Oxyntic cells
(3).
Duodenal cells
(4).
Chief cells
97.
Which of the following statements is not correct ?

(1).
The hydrolytic enzymes of lysosomes are active under acidic pH.
(2).
Lysosomes are membrane bound structures.
(3).
Lysosomes are formed by the process of packaging in the endoplasmic reticulum.
(4).
Lysosomes have numerous hydrolytic enzymes.
98.
Under which of the following conditions will there be no change in the reading frame of following mRNA ? 5' AACAGCGGUGCUAUU 3'

(1).
Deletion of G from 5th position
(2).
Insertion of A and G at 4th and 5th positions respectively
(3).
Deletion of GGU from 7th, 8th and 9th positions
(4).
Insertion of G at 5th position
99.
Which of the following pairs of gases is mainly responsible for green house effect ?

(1).
Oxygen and Nitrogen
(2).
Nitrogen and Sulphur dioxide
(3).
Carbon dioxide and Methane
(4).
Ozone and Ammonia
100.
Which of the following statements regarding mitochondria is incorrect ?

(1).
Enzymes of electron transport are embedded in outer membrane.
(2).
Inner membrane is convoluted with infoldings.
(3).
Mitochondrial matrix contains single circular DNA molecule and ribosomes.
(4).
Outer membrane is permeable to monomers of carbohydrates fats and proteins.
101.
Which one of the following statements regarding post-fertilization development in flowering plants is incorrect ?

(1).
Zygote develops into embryo.
(2).
Central cell develops into endosperm.
(3).
Ovules develop into embryo sac.
(4).
Ovary develops into fruit.
102.
Match the following structures with their respective location in organs:

Select the correct option .

(1).
(a) - (ii), (b) - (iv), (c) - (i), (d) - (iii)
(2).
(a) - (iii), (b) - (iv), (c) - (i), (d) - (ii)
(3).
(a) - (iii), (b) - (ii), (c) - (i), (d) - (iv)
(4).
(a) - (iii), (b) - (i), (c) - (ii), (d) - (iv)
103.
What map unit (Cenimorgan) is adopted in the construction of genetic maps ?

(1).
A unit of distance between two expressed genes, representing 100% cross over
(2).
A unit of distance between genes on chromosomes, representing 1% cross over
(3).
A unit of distance between genes on chromosomes, representing 50% cross over
(4).
A unit of distance between two expressed genes, representing 10% cross ove
104.
Select the correct group of biocontrol agents

(1).
Trichoderma, Baculovirus, Bacillus thuringiensis
(2).
Oscillatoria, Rhizobium, Trichoderma
(3).
Nostoc, Azospirillium, Nucleopolyhe-drovirus
(4).
Bacillus thuringiensis, Tobacco mosaic virus, Aphids
105.
Which of the following factors is responsible for the formation of concentrated urine ?

(1).
Maintaining hyperosmolarity towards inner medullary interstitium in the kidneys
(2).
Selection of erythropoetin by Juxtaglo-merular complex
(3).
Hydrostatic pressure during glomerular filtration
(4).
Low levels of antidiuretic hormone
106.
Which of the following glucose transporters is insulin- dependent ?

(1).
GLUT II
(2).
GLUT III
(3).
GLUT IV
(4).
GLUT I
107.
Grass leaves curl inwards during every dry weather. Select the most appropriate reason from the following

(1).
Flaccidity of bulliform cells
(2).
Shrinkage of air spaces in spongy mesophyll
(3).
Tyloses in vessels
(4).
Closure of stomata
108.
Concanavalin A is

(1).
an essential oil.
(2).
a lectin.
(3).
a pigment.
(4).
an alkaloid.
109.
Select the incorrect statement :

(1).
In male grasshoppers, 50% of sperms have no sex-chromosome.
(2).
In domesticated fowls, sex of progeny depends on the type of sperm rather than egg.
(3).
Human males have one of their sex-chromosome much shorter than the other.
(4).
Male fruit fly is heterogametic.
110.
Which one of the following is not a method of in situ conservation of biodiversity?

(1).
Wildlife Sanctuary
(2).
Botanical Garden
(3).
Sacred Grove
(4).
Biosphere Reserve
111.
Which of the following statements is incorrect ?

(1).
Claviceps is source of many alkaloids and LSD.
(2).
Conidia are produced exogenously and ascospores endogenously.
(3).
Yeasts have filamentous bodies with long thread- like hyphae.
(4).
Morels and truffles are edible delicacies.
112.
Which of the following contraceptive methods do involve a role of hormone ?

(1).
Barrier method, Lactational amenorrhea, Pills
(2).
CuT, Pills, Emergency contraceptives
(3).
Pills, Emergency contraceptives, Barrier methods
(4).
Lactational amenorrhea, Pills, Emergency contraceptives
113.
Match the following organisms with their respective characteristics

(1).
(a) - (iii), (b) - (iv), (c) - (ii), (d) - (i)
(2).
(a) - (ii), (b) - (iv), (c) - (iii), (d) - (i)
(3).
(a) - (iii), (b) - (ii), (c) - (iv), (d) - (i)
(4).
(a) - (iii), (b) - (ii), (c) - (i), (d) - (iv)
114.
Drug called ‘Heroin’ is synthesised by

(1).
acetylation of morphine. .
(2).
glycosylation of morphine.
(3).
nitration of morphine.
(4).
methylation of morphine
115.
What is the site of perception of photoperiod necessary for induction of flowering in plants ?

(1).
Pulvinus
(2).
Shoot apex
(3).
Leaves
(4).
Lateral buds
116.
Tidal Volume and Expiratory Reserve Volume of an athlete is 500 mL and 1000 mL respectively. What will be his Expiratory Capacity if the Residual Volume is 1200 mL ?

(1).
1700 mL
(2).
2200 mL
(3).
2700 mL
(4).
1500 mL
117.
Thiobacillusis a group of bacteria helpful in carrying out

(1).
chemoautotrophic fixation.
(2).
nitrification.
(3).
denitrification.
(4).
nitrogen fixation.
118.
In a species, the weight of newborn ranges from 2 to 5 kg. 97% of the newborn with an average weight between 3 to 3.3 kg survive where as 99% of the infants born with weights from 2 to 2.5 kg or 4.5 to 5 kg die. Which type of selection process is taking place ?

(1).
Stabilizing Selection
(2).
Disruptive Selection
(3).
Cyclical Selection
(4).
Directional Selection
119.
Expressed Sequence Tags (ESTs) refers to

(1).
polypeptide expression.
(2).
DNA polymorphism.
(3).
Novel DNA sequences.
(4).
genes expressed as RNA
120.
Extrusion of second polar body from egg nucleus occurs

(1).
after fertilisation
(2).
before entry of sperm into ovum
(3).
simultaneously with first cleavage
(4).
after entry of sperm but before fertilisation
121.
Match the hominids with their correct brain size :

(1).
(a) - (iii), (b) - (ii), (c) - (i), (d) - (iv)
(2).
(a) - (iii), (b) - (iv), (c) - (i), (d) - (ii)
(3).
(a) - (iv), (b) - (iii), (c) - (i), (d) - (ii)
(4).
(a) - (iii), (b) - (i), (c) - (iv), (d) - (ii)
122.
Select the hormone-releasing Intra-Uterine Devices.

(1).
Multiload 375, Progestasert
(2).
Progestasert, LNG-20
(3).
Lippes Loop, Multiload 375
(4).
Vaults, LNG-20
123.
Respiratory Quotient (RQ) value of tripalmitin is

(1).
0.7
(2).
0.07
(3).
0.09
(4).
0.9
124.
Pinus seed cannot germinate and establish without fungal association. This is because

(1).
it has obligate association with mycorrhizae.
(2).
it has very hard seed coat.
(3).
its seeds contain inhibitors that prevent germination.
(4).
its embryo is immature
125.
Sequence of organs in the alimentary canal of cockroach starting from mouth Out of Syllabus

(1).
Pharynx → Oesophagus → Gizzard → Crop → Ileum → Colon → Rectum
(2).
Pharynx → Oesophagus → Gizzard → Ileum → Crop → Colon → Rectum
(3).
Pharynx → Oesophagus → Ileum → Crop → Gizzard → Colon → Rectum
(4).
Pharynx → Oesophagus → Crop → Gizzard → Ileum → Colon → Rectum
126.
From evolutionary point of view, retention of the female gametophyte with developing young embryo on the parent sporophyte for some time, is first observed in

(1).
mosses.
(2).
pteridophytes.
(3).
gymnosperms.
(4).
liverworts.
127.
Match the following hormones with the respective disease :

(1).
(a) - (ii), (b) - (iv), (c) - (iii), (d) - (i)
(2).
(a) - (v), (b) - (iv), (c) - (i), (d) - (iii)
(3).
(a) - (ii), (b) - (iv), (c) - (i), (d) - (iii)
(4).
(a) - (v), (b) - (i), (c) - (ii), (d) - (iii)
128.
The concept of “Omnis cellula-e cellula” regarding cell division was first proposed by

(1).
Theodore Schwann.
(2).
Schleiden.
(3).
Aristotle.
(4).
Rudolf Virchow.
129.
Colostrum, the yellowish fluid, secreted by mother during the initial days of lactation is very essential to impart immunity to the newborn infants because it contains

(1).
monocytes.
(2).
macrophages.
(3).
immunoglobulin A.
(4).
natural killer cells.
130.
Polyblend, a fine powder of recycled modified plastic, has proved to be a good material for

(1).
use as a fertilizer.
(2).
construction of roads.
(3).
making tubes and pipes.
(4).
making plastic sacks.
131.
It takes very long time for pineapple plant to produce flowers. Which combination of hormones can be applied to artificially induce flowering in pineapple plants throughout the year to increase yield ?

(1).
Gibberellin and Cytokinin
(2).
Gibberellin and Abscisic acid
(3).
Cytokinin and Abscisic acid
(4).
Auxin and Ethylene
132.
Which part of the brain is responsible for thermoregulation ?

(1).
Hypothalamus
(2).
Medulla oblongata
(3).
Corpus callosum
(4).
Cerebrum
133.
Match the following genes of the Lac operon with their respective products

Select the correct option from the following

(1).
(a) - (iii), (b) - (i), (c) - (ii), (d) - (iv)
(2).
(a) - (iii), (b) - (i), (c) - (iv), (d) - (ii)
(3).
(a) - (iii), (b) - (iv), (c) - (i), (d) - (ii)
(4).
(a) - (i), (b) - (iii), (c) - (ii), (d) - (iv)
134.
DNA precipitation out of a mixture of biomolecules can be achieved by treatment with

(1).
chilled ethanol.
(2).
methanol at room temperature.
(3).
chilled chloroform.
(4).
isopropanol.
135.
The correct sequence of phases of cell cycle is

(1).
G1 → G2 → S → M
(2).
S → G1 → G2 → M
(3).
G1 → S → G2 → M
(4).
M → G1 → G2 → S
136.
The frequency of recombination between gene pairs on the same chromosome as a measure of the distance between genes was explained by

(1).
Gregor J. Mendel.
(2).
Alfred Sturtevant.
(3).
Sutton Boveri.
(4).
T.H. Morgan.
137.
Identify the correct pairs representing the causative agent of typhoid fever and the confirmatory test for typhoid.

(1).
Streptococcus pneumoniae / Widal test
(2).
Salmonella typhi / Anthrone test
(3).
Salmonella typhi / Widal test
(4).
Plasmodum vivax / UTI test
138.
The Earth Summit held in Rio de Janeiro in 1992 was called

(1).
for conservation of biodiversity and sustainable utilisation of its benefits.
(2).
to assess threat posed to native species by invasive weed species.
(3).
for immediate steps to discontinue use of CFCs that were damaging the ozone layer. .
(4).
to reduce caused CO2 emissions and global warming
139.
Variations caused by mutation, as proposed by Hugo de Vries, are

(1).
random and direction less.
(2).
small and directional.
(3).
small and direction less.
(4).
random and directional.
140.
Which of the following can be used as a biocontrol agent in the treatment of plant disease ?

(1).
Chlorella
(2).
Anabaena
(3).
Lactobacillus
(4).
Trichoderma
141.
Which of the following immune responses is responsible for rejection of kidney graft ?

(1).
Humoral immune response
(2).
Inflammatory immune response
(3).
Cell-mediated immune response
(4).
Auto-immune response
142.
Cells in G0 phase

(1).
enter the cells cycle.
(2).
suspend the cell cycle.
(3).
terminate the cell cycle.
(4).
exit the cell cycle.
143.
Which of the following is a commercial blood cholesterol lowering agents ?

(1).
Statin
(2).
Streptokinase
(3).
Lipases
(4).
Cyclosporin A
144.
Which of the following muscular disorders is inherited ?

(1).
Muscular dystrophy
(2).
Myasthenia gravis
(3).
Botulism
(4).
Tetany
145.
Select the correct option.

(1).
11th and 12th pairs of ribs are connected to the sternum with the help of hyaline cartilage.
(2).
Each rib is a flat thin bone and all the ribs are connected dorsally to the thoracic vertebrae and ventrally to the sternum.
(3).
There are seven pairs of vertebrosternal, three pairs of vertebrochondral and two pairs of vertebral ribs.
(4).
8th, 9th and 10th pairs of ribs articulate directly with the sternum.
146.
Which of the following statements is correct ?

(1).
Cornea consists of dense connective tissue of elastin and can repair itself.
(2).
Cornea is convex, transparent layer which is highly vascularised.
(3).
Cornea consists of dense matrix of collagen and is the most sensitive portion of the eye.
(4).
Cornea is an external, transparent and protective proteinacious covering of the eye-ball.
147.
Following statements describe the characteristics of the enzyme restriction endonuclease. Identify the incorrect statement.

(1).
The enzyme binds DNA at specific sites and cuts only one of the two strands.
(2).
The enzyme cuts the sugar-phosphate backbone at specific sites on each strand.
(3).
The enzyme recognizes a specific palindromic nucleotide sequence in the DNA.
(4).
The enzyme cuts DNA molecule at identified position with the DNA.
148.
Phloem in gymnosperms lacks

(1).
sieve tubes only.
(2).
companion cells only.
(3).
both sieve tubes and companion cells.
(4).
albuminous cells and sieve cells.
149.
Use of an artificial kidney during haemodialysis may result in :
1. Nitrogenous waste build-up in the body
2. Non-elimination of excess potassium ions
3. Reduced absorption of calcium ions from gastro-intestinal tract
4. Reduced RBC production
Which of the following options is the most appropriate ?

(1).
(2) and (3) are correct
(2).
(3) and (4) are correct
(3).
(1) and (4) are correct
(4).
(1) and (2) are correct
150.
Which of the following statements is incorrect ?

(1).
Viruses are obligate parasites.
(2).
Infective constituent in viruses is the protein coat.
(3).
Prions consist of abnormally folded proteins.
(4).
Viroids lack a protein coat.
151.
Due to increasing air-borne allergens and pollutants, many people in urban areas are suffering from respiratory disorder causing wheezing due to

(1).
inflammation of bronchi and bronchioles.
(2).
proliferation of fibrous tissues and damage of the alveolar walls.
(3).
reduction in the secretion of surfactants by pneumocytes.
(4).
benign growth on mucous lining of nasal cavity.
152.
Which of the following sexually transmitted diseases is not completely curable ?

(1).
Genital warts
(2).
Genital herpes
(3).
Chlamydiasis
(4).
Gonorrhoea
153.
How does steroid hormone influence the cellular activities ?

(1).
Binding to DNA and forming a genehormone complex
(2).
Activating cyclic AMP located on the cell membrane
(3).
Using aquaporin channels as second messenger
(4).
Changing the permeability of the cell membrane
154.
Which of the statements given below is not true about formation of annual rings in trees ?

(1).
Differential activity of cambium causes light and dark bands of tissue-early and late wood respectively.
(2).
Activity of cambium depends upon variation in climate.
(3).
Annual rings are not prominent in trees of temperate region.
(4).
Annual ring is a combination of spring wood and autumn wood produced in a year.
155.
What is the direction of movement of sugars in phloem ?

(1).
Upward
(2).
Downward
(3).
Bi-directional
(4).
Non-multidirectional
156.
The shorter and longer arms of a submetacentric chromosome are referred to as

(1).
p-arm and q-arm respectively.
(2).
q-arm and p-arm respectively.
(3).
m-arm and n-arm respectively.
(4).
s-arm and l-arm respectively.
157.
Which of these following methods is the most suitable for disposal of nuclear waste ?

(1).
Bury the waste under Antarctic ice-cover.
(2).
(Dump the waste within rocks under deep ocean.
(3).
(Bury the waste within rocks deep below the Earth's surface. .
(4).
Shoot the waste into space
158.
Match the column I with Column 2

(1).
(a) - (iv), (b) - (i), (c) - (ii), (d) - (v)
(2).
(a) - (ii), (b) - (i), (c) - (v), (d) - (iii)
(3).
(a) - (ii), (b) - (iii), (c) - (v), (d) - (iv)
(4).
(a) - (iv), (b) - (i), (c) - (ii), (d) - (iii)
159.
Select the correctly written scientific name of Mango which was first described by Carolus Linnaeus :

(1).
Mangifera indica Linn
(2).
Mangifera indica
(3).
Mangifera Indica
(4).
Mangifera indica Car. Linn.
160.
What is the fate of the male gametes discharged in the synergid ?

(1).
All fuse with the egg
(2).
One fuses with the egg, other(s) fuse(s)with synergid nucleus
(3).
One fuses with the egg and other fuses with central cell nuclei
(4).
One fuses with the egg, other(s) degenerate(s) in the synergid
161.
Which of the following features of genetic code does allow bacteria to produce human insulin by recombinant DNA technology ?

(1).
Genetic code is redundant
(2).
Genetic code is nearly universal
(3).
Genetic code is specific
(4).
Genetic code is not ambiguous
162.
Which of the following pair of organelles does not contain DNA ?

(1).
Chloroplast and Vacuoles
(2).
Lysosomes and Vacuoles
(3).
Nuclear envelope and Mitochondria
(4).
Mitochondria and Lysosomes
163.
In some plants, the female gamete develops into embryo without fertilisation. This phenomenon is known as

(1).
parthenocarpy.
(2).
syngamy.
(3).
parthenogenesis.
(4).
autogamy.
164.
Consider the following statements :
(A) Coenzyme or metal ion that is tightly bound to enzyme protein is called prosthetic group.
(B) A complete catalytic active enzyme with its bound prosthetic group is called apoenzyme.
Select the correct option.

(1).
(A) is true by (B) is false
(2).
Both (A) and (B) are false
(3).
(A) is false but (B) is true
(4).
Both (A) and (B) are true
165.
Conversion of glucose to glucose-6-phosphate, the first irreversible reaction of glycolysis, is catalysed by

(1).
hexokinase.
(2).
enolase.
(3).
phosphofructokinase.
(4).
aldolase.
166.
Which of the following ecological pyramids is generally inverted ?

(1).
Pyramid of energy
(2).
Pyramid of biomass in a forest
(3).
Pyramid of biomass in a sea
(4).
Pyramid of numbers in grassland
167.
Consider following features :
1. Organ system level of organisation
2. Bilateral symmetry
3. True coelomates with segmentation of body
Select the correct option of animal groups which possess all the above characteristics.

(1).
Annelida, Arthropoda and Mollusca
(2).
Arthropoda, Mollusca and Chordata
(3).
Annelida, Mollusca and Chordata
(4).
Annelida, Arthropoda and Chordata
168.
What is genetic disorder in which an individual has an overall masculine develop-ment, gynaecomastia and is sterile ?

(1).
Klinefelter's syndrome
(2).
Edward syndrome
(3).
Down's syndrome
(4).
Turner's syndrome
169.
Which of the following is the most important cause for animals and plants being driven to extinction ?

(1).
Drought and floods
(2).
Economic exploitation
(3).
Alien species invasion
(4).
Habitat loss and fragmentation
170.
What triggers activation of protoxin to active Bt toxin of Bacillus thuringiensis in boll worm ?

(1).
Moist surface of midgut
(2).
Alkaline pH of gut
(3).
Acidic pH of stomach
(4).
Body temperature
171.
Select the correct sequence for transport of sperm cells in male reproductive system.

(1).
Seminiferous tubules → Rete testis → Vasa efferentia → Epididymis → Vas deferens → Ejaculatory duct → Urethra → Urethral meatus.
(2).
Seminiferous tubules → Vasa efferentia → Epididymis → Inguinal canal → Urethra
(3).
Testis → Epididymis → Vasa efferentia → Vas deferens → Ejaculatory duct → Inguinal canal → Urethra → Urethral meatus
(4).
Testis → Epididymis → Vasa efferentia → Rete testis → Inguinal canal → Urethra
172.
Persistent nucellus in the seed is known as

(1).
perisperm.
(2).
hilum.
(3).
tegmen.
(4).
chalaza.
173.
Which one of the following equipments is essentially required for growing microbes on a large scale, for industrial production of enzymes ?

(1).
Sludge digester
(2).
Industrial oven
(3).
Bioreactor
(4).
BOD incubator
174.
What would be the heart rate of a person if the cardiac output is 5 L , blood volume in the ventricles at the end of diastole is 100 mL and at the end of ventricular systole is 50 ml ?

(1).
75 beats per minute
(2).
100 beats per minute
(3).
125 beats per minute
(4).
50 beats per minute
175.
Xylem translocates

(1).
water and mineral salts only .
(2).
water , mineral salts and some organic nitrogen only .
(3).
water , mineral salts , some organic nitrogen and hormones .
(4).
water only
176.
Which of the following is true for Golden rice ?

(1).
It is pest resistan, with a gene from Bacillus thuringiensis .
(2).
It is drought tolerant, developed using Agrobacterium vector .
(3).
It has yellow grains , because of a gene introduced from primitive variety of rice .
(4).
It is Vitamin A enriched , with a gene from daffodil .
177.
Purines found in the DNA and RNA are

(1).
adenine and guanine.
(2).
guanine and cytosine.
(3).
cytosine and thymine.
(4).
adenine and thymine.
178.
Which of the following protocols did aim for reducing emission of chlorofluorocarbons into the atmosphere ?

(1).
Kyoto Protocol
(2).
Gothenburg Protocol
(3).
Geneva Protocol
(4).
Montreal Protocol
179.
Placentation , in which ovules develop on the inner wall of the ovary or in peripheral part , is

(1).
axile
(2).
parietal
(3).
free central
(4).
basal
180.
The ciliated epithelial cells are required to move particles or mucus in a specific direction. In humans, these cells are mainly present in

(1).
fallopian tubes and pancreatic duct.
(2).
eustachian and salivary duct.
(3).
bronchioles and fallopian tubes. .
(4).
bile duct and bronchioles